08:04
USD 87.45
EUR 103.10
RUB 1.16
Экономика

ГНС Кыргызстана предоставляет сведения по налогоплательщикам, имеющим крупную задолженность (список)

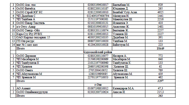
В Кыргызстане задолженность предприятий по налогам на 1 октября составила 204,681 миллиона сомов. Об этом сообщает пресс-служба ГНС КР.

По ее данным, лидером по недоимке в Бишкеке стал Первомайский район, его задолженность составляет 39,24 миллиона сомов, из которых 28,9 миллиона задолжало муниципальное предприятие «Тазалык».

В Свердловском районе недоимка составила почти 3,7 миллиона сомов. Октябрьский район недобрал 2,12 миллиона, Ленинский - 2,07 миллиона сомов.

Среди крупных предприятий лидером по задолженности стало ОАО «Кыргызгаз», сумма невыплаченных налогов составила 36,58 миллиона сомов.

Среди городов Кыргызстана лидером по задолженности остается город Кара-Куль, общая сумма недоплат превысила более 44 миллионов сомов. ОАО «Нарынгидрострой» недоплатило 24,2 миллиона сомов, а ОсОО «Нурланалко» - 19,8 миллиона.

alt

alt

alt

Бизнес